Dik Dairesel Silindir Nedir? Ne Demek?

    Açıklamalı terimler sözlüğümüzde Dik Dairesel Silindir terimi ile ilgili toplam 1 tanım bulunmaktadır. 2026 yılı itibarıyla Dik Dairesel Silindir nedir? Dik Dairesel Silindir ne demek? gibi sorularınıza yanıt olabilecek, güncel teknik ve genel bilgileri aşağıda bulabilirsiniz.

    Dik Dairesel Silindir Terimi Hakkında Bilgi

    Dik Dairesel Silindir

    Matematik-Geometri Terimi Olarak Dik Dairesel Silindir :

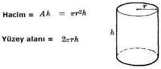
    Tabanları birbirine eş ve paralel iki daireden oluşan ve ekseni tabanlara dik olan cisim.

    📂 Matematik-Geometri Terimleri Sözlüğü

    Dik Dairesel Silindir terimi hakkında yorum yazabilirsiniz.

    Dik Dairesel Silindir hakkındaki yorumlar

    Dik Dairesel Silindir hakkında henüz yorum yazılmamış. Üstteki formu kullanarak ilk yorumu yazabilirsiniz.

    Dik Dairesel Silindir ile ilgili benzer terimler:

    Dışbükey Çokgen: Çokgenin iç bölgesinde seçilen herhangi iki noktayı birleştiren doğru parçası daima çokgenin iç bölgesinde kaldığı çokgen. Köşegenlerinin tamamı çokgenin iç bölgesinde olan çokgenlere verilen isim.
    Dış Ters Açı: Herhangi iki doğruyu üçüncü bir doğru kestiğinde, bu doğruların arasında olmayan ve kesenin farklı yanlarındaki komşu olmayan açılar. Görselde A ve G , C ve H dış ters açılardır. Dış ters açıların ölçüleri birbirine eşittir.
    Değişken: Sayıları temsil eden harf. X = 2 ve Y = 5 için X + Y = 7 olur. Burada X ve Y değişkendir.
    Değişme Özelliği: Elemanların yerleri değiştiğinde işlem sonucunun değişmemesi.

    Örnek : X + Y = Y + X
    Daire Grafiği: Bir bütünün parçaları hakkında bilgi sunmada kullanılan, daire şeklindeki grafik türü.